近日,复旦大学物理系/应用表面物理国家重点实验室晏湖根教授课题组研究了单层黑磷面内双曲激子极化激元模式。相关成果以《单层黑磷中面内双曲激子极化激元的预测》(“Prediction of hyperbolic exciton-polaritons in monolayer black phosphorus”)为题在《自然-通讯》(Nature Communications)上发表。

图1:a.单层黑磷的原子结构,源于这种褶皱的晶格结构,黑磷沿两个晶向具有不同的光学响应;b.实验的光学反射谱,除了激子的基态(1s),更高的激发态(2s、3s也被观测到了);c.拟合得到的光学电导率,图中阴影部分为双曲激子极化激元模式存在的光谱范围((Im(σAC)⋅Im(σZZ)<0));
极化激元是光子和材料中的偶极子形成的半光、半物质的新准粒子,在光场调控和信息传输等方面扮演了重要角色。根据极化激元等能线(面)的几何形状,它们一般可以分为椭圆型和双曲型两类。双曲极化激元具有极大的光学态密度,且具有特定的方向传播,可以作为信息定向传播的有效载体。大多数的双曲极化激元报道都集中在人工材料中。最近,在二维材料MoO3以及 WTe2中也报道了面内自然存在的双曲声子极化激元和双曲等离激元模式,这些材料的共同特征是具有面内各向异性。黑磷是一种具有很强面内各向异性的二维半导体材料(图1a为单层黑磷的原子结构图),自然而然被当成研究双曲极化激元的最佳载体。但是目前关于黑磷中的极化激元的研究仅限于等离激元,而且停留在理论预测上。关于黑磷中具有巨大潜在应用的激子极化激元的研究仍旧缺乏,相比于等离激元和声子极化激元,激子极化激元的振荡频率更高,覆盖光谱范围更广,另外调节手段也可以更加多样化,因此具有更大的应用前景。

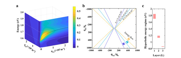
图2:a.不同晶向上的损耗函数分布的伪彩图;b.双曲区间不同能量处(E=1.71 eV, 1.75 eV, 1.79 eV)极化激元的等能线,为开放的双曲形状,传播方向为双箭头所示方向;c.双曲区间随层数的变化,随着层数的增大,双曲区间变窄,光谱范围由可见延伸到红外区域。
晏湖根课题组测量了单层黑磷的反射光谱。通过不断尝试,得到了较高质量的单层样品,在光谱上清晰的观测到了激子的基态和激发态(图1b)。由激子基态和激发态的能量差,结合修正的氢原子模型,他们得到了单层黑磷的激子束缚能(~ 452 meV)。由于单层黑磷的不稳定性,以往对单层黑磷激子束缚能的测定是存在争议的,因此晏湖根课题组对单层黑磷的研究解决了以前的争议。更进一步,通过拟合高质量的光学反射谱,他们得到了单层黑磷两个晶向的光学电导率(图1c)。根据极化激元理论(双曲极化激元中,两个晶轴的光学电导率虚部异号(Im(σAC)⋅Im(σZZ)<0)),课题组讨论了在单层黑磷中存在的面内双曲激子极化激元模式的性质(图2a和图2b)。相比于面外传播的极化激元模式,这种面内传播的极化激元被限制在原子级的薄膜附近,具有更强的场限制效应,并且能通过层数、应力、掺杂等方式实现双曲区间的调节(图2c)。这是继声子和等离激元后,在二维材料中首次发现的第三种自然存在的面内双曲型极化激元。
该工作不仅加深了对单层黑磷激子性质的理解,也将为后续各向异性二维材料中的激子极化激元的研究提供新思路,为极化激元成为信息传输的新载体奠定基础。近年来,晏湖根课题组对黑磷展开了多方面的研究,从多层推进到单层,成果颇丰:曾经观察到单层黑磷带隙的温度依赖与体材料截然相反;发现了少层黑磷在光吸收本领上的“以少胜多”现象;通过多种手段实现了对少层黑磷的能带调控。在双曲极化激元方向,除这里报道的黑磷中双曲激子外,课题组也首次发现
WTe2中自然存在的二维双曲型等离激元。
物理学系博士生汪凡洁、博士后王冲分别为论文的第一、第二作者,晏湖根教授为通讯作者。该工作得到了国家自然科学基金、科技部重大研发计划、上海市科委、复旦大学和应用表面物理国家重点实验室等支持。
论文链接: https://www.nature.com/articles/s41467-021-25941-5





