上新啦!复旦大学科研团队近期又取得了数项成果和突破,小编为你整理了2022年10月部分科研成果,快一起来看看吧!
数学物理领域
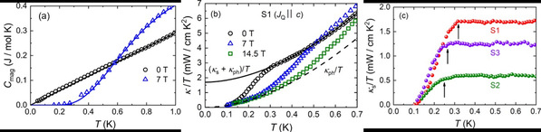
1.物理学系李世燕课题组在自旋子特征热导率研究方面取得重要进展

近日,物理学系/应用表面物理国家重点实验室李世燕教授课题组与华东师范大学徐杨研究员、鲁东大学副教授泮丙营等合作,利用极低温热输运和比热测量手段,系统地研究了自旋1/2海森堡反铁磁自旋链苯甲酸铜[Cu(C6H5COO)2·3H2O]中的磁激发,验证了自旋子在极低温下随温度线性变化的特征热导率。相关研究论文以“Unambiguous experimental verification of linear-in-temperature spinon thermal conductivity in an antiferromagnetic Heisenberg chain”为题,发表在《物理评论快报》(Physical Review Letters)上。
新闻链接:https://phys.fudan.edu.cn/0d/bf/c7609a462271/page.htm
2.物理学系朱黄俊研究员在量子测量基础理论研究中取得重要进展

近日,物理学系/应用表面物理国家重点实验室/微纳电子器件与量子计算机研究院朱黄俊研究员借助一个简单的量子估计问题提出了从信息获取的视角理解量子测量,特别是基本量子测量,的一般方法。 相关成果以《Quantum Measurements in the Light of Quantum State Estimation》发表于 PRX Quantum 。
新闻链接:https://phys.fudan.edu.cn/0d/bd/c7609a462269/page.htm
3.物理学系黄吉平课题组在时空扩散超构材料中揭示了热威利斯耦合机制

近日,物理学系/应用表面物理国家重点实验室黄吉平教授课题组与新加坡国立大学仇成伟教授课题组合作,在时空扩散超构材料中揭示了热威利斯耦合机制,可用于控制温度场的定向移动。相关成果以“Thermal Willis Coupling in Spatiotemporal Diffusive Metamaterials”为题发表于《物理评论快报》(Physical Review Letters)。
新闻链接:https://phys.fudan.edu.cn/0a/7b/c7609a461435/page.htm
4.物理学系张童、封东来课题组发现MnTe/Bi2Te3/Fe(Te,Se)异质结中的零能态和增强超导能隙

近日,物理学系张童、封东来课题组与南京大学万贤纲、东南大学施智祥研究组合作,在一种新型磁性/超导异质结MnTe/Bi2Te3/Fe(Te,Se)中发现了零能束缚态和增强的超导能隙。理论计算表明该体系可能具有非共线磁结构,为实现磁性/超导界面中的新型拓扑超导电性提供了良好平台。该工作以“Observation of robust zero-energy state and enhanced superconducting gap in a trilayer heterostructure of MnTe/Bi2Te3/Fe(Te, Se)”为题发表于Science Advances上。
新闻链接:https://phys.fudan.edu.cn/0a/74/c7609a461428/page.htm
5.航空航天系邓道盛课题组合作Nature Communications:利用可调控液膜不稳定性制备柔性超材料

近日,复旦大学航空航天系邓道盛课题组与瑞士洛桑联邦理工大学Prof. Fabien Sorin课题组合作研究了基于拉伸液膜各向异性流动不稳性导致的丝化现象制造纳米线,并通过液膜的模版化处理来实现纳米线二维和三维结构的可控性和自组装。相关研究成果以“Controlled filamentation instability as a scalable fabrication approach to flexible metamaterials”为题发表于Nature Communications上。
新闻链接:https://news.fudan.edu.cn/2022/1026/c5a132946/page.htm
6.航空航天系徐凡课题组发现曲面手性拓扑形貌及智能抓取新策略

近日,航空航天系徐凡教授课题组与清华大学冯西桥教授合作研究发现失水果实(如百香果)收缩核壳结构中的一种新颖而有趣的手性褶皱拓扑形貌,揭示了手性形貌的局部扰动自适应性可以有效且稳定地抓取各种形状、材料和软硬的物体,构建了一种基于手性形貌的自适应智能软抓手。相关研究成果以《收缩球体中的手性拓扑失稳》(“Chiral Topographic Instability in Shrinking Spheres”)为题作为封面文章(Cover)发表于《自然·计算科学》(Nature Computational Science)。
新闻链接:https://news.fudan.edu.cn/2022/1022/c5a132898/page.htm
化学材料领域
1.高分子科学系两项研究成果入选国际纯粹与应用化学联合会“化学领域十大新兴技术”

近日,国际纯粹与应用化学联合会(IUPAC)公布了“2022年度化学领域十大新兴技术(Top Ten Emerging Technologies in Chemistry 2022)”名单,复旦大学高分子科学系、聚合物分子工程国家重点实验室彭慧胜课题组的两项成果——纤维电池(fiber batteries)和织物显示(textile displays)榜上有名。
新闻链接:https://news.fudan.edu.cn/2022/1030/c5a132987/page.htm
2.高分子科学系郭佳教授团队Nature Communications:手性COF提升光催化分解水析氢的反应动力学

近日,高分子科学系郭佳教授团队以手性酮烯胺COF为基体,络合Cu(II)离子,制备得到了含量超过10wt%的单原子光催化剂。这一工作以优化空穴消耗反应动力学为着手点来提升光催化析氢性能,开拓了手性COF框架在光催化析氢领域的构效关系研究,为开发非贵金属的高性能有机光催化剂打下了基础。该成果近期发Nature Communications。
新闻链接:https://polymer.fudan.edu.cn/11/04/c31392a463108/page.htm
3.高分子科学系潘翔城课题组JACS:基于有机硼光催化剂内层电子转移机制的可控自由基聚合

高分子科学系和聚合物分子工程国家重点实验室潘翔城课题组以“光诱导离子对内层电子转移的可逆加成-断裂链转移聚合(Photoinduced Ion-Pair Inner-Sphere Electron Transfer-Reversible Addition–Fragmentation Chain Transfer Polymerization)”为题,于2022年10月20日在线发表于J. Am. Chem. Soc.期刊上。
新闻链接:https://mp.weixin.qq.com/s/n_gZ__SB75B60vsK2sOqRQ
4.化学系赵东元院士、李晓民教授团队合作揭示纳米液滴重塑策略可控合成多腔介孔SiO2纳米反应器

近日,化学系赵东元院士、李晓民教授团队通过一种纳米液滴的分步重塑策略合成了具有可调腔室数量(由1个到3个)和腔室分布的多腔介孔纳米颗粒。通过原位的分步共组装进一步在单颗粒水平实现了多功能(磁性、催化、光学等)实体的分离和配位构建。此外,通过在双腔开口葫芦的上腔植入Pd纳米晶,在底腔锚定Au纳米颗粒设计了具有空间分离双活性位的双腔纳米反应器。在级联反应合成2-苯基吲哚方面表现出良好的催化性能,选择性高达76.5%,是单腔室纳米反应器(约41.3%)的1.85倍。该研究成果以“Remodeling nanodroplets into hierarchical mesoporous silica nanoreactors with multiple chambers”为题在线发表于Nature Communications。
新闻链接:https://chemistry.fudan.edu.cn/18/45/c21871a464965/page.htm
5.化学系单分子成像课题组(SMILe)在稀土上转换的单颗粒成像及示踪取得新进展

近日,单分子成像课题组精确地控制合成了inside-out、outside-in和local不同拓扑排列的能量迁移结构,并证明了outside-in结构在单颗粒测量水平发射强度最大。团队优化了outside-in结构的掺杂比例,相比传统的核壳结构,获得单颗粒水平14倍的增强,并进一步用于活细胞中单颗粒的长期实时追踪。同时,对不同拓扑结构UCNPs中能量迁移的研究体现了一种创新策略,可以用于设计单分子成像纳米探针,从而可以转化为其他领域的应用,例如信息技术、激光制造、生物医学和生物光子学等。上述研究成果以“Enhancement of single upconversion nanoparticle imaging by topologically segregated core-shell structure with inward energy migration”为题在线发表于期刊Nat. Commun.上。
新闻链接:https://chemistry.fudan.edu.cn/0c/6d/c21871a461933/page.htm
信息领域
1.信息学院泛光通信实验室迟楠、张俊文团队在下一代高速相干光接入取得突破

近日,信息科学与工程学院泛光通信实验室迟楠、张俊文教授团队联合深圳鹏城实验室在2022 OFC-PDP(post-deadline paper)的专栏成果受邀发表在OSA/IEEE旗舰期刊JLT(Journal of Lightwave Technology)最新一期上。成果面向下一代高速相干光接入,利用DSP辅助的相干通信系统、概率成型技术和本振光功率调整技术,取得高达7104dBGbps的动态范围净速率积(DRNRP),相关成果代表了灵活相干光接入的最新记录。
2.计算机科学技术学院冯瑞、张玥杰团队在国际多媒体顶级会议ACM Multimedia上发表新成果

2022年国际多媒体顶级会议ACM Multimedia中,由计算机科学技术学院冯瑞教授和张玥杰教授带领的复旦大学跨媒体智能计算实验室(CMIT)发表的论文MM-Pyramid: Multimodal Pyramid Attentional Network for Audio-Visual Event Localization and Video Parsing入选。ACM Multimedia是计算机学科多媒体领域的顶级国际会议,也是中国计算机学会(CCF)推荐的该领域唯一的A类国际学术会议。
新闻链接:https://news.fudan.edu.cn/2022/1029/c5a132979/page.htm
3.微电子学院周鹏教授团队在《自然·材料》期刊发表综述,探索为二维半导体和硅技术搭桥

近日,微电子学院周鹏教授团队探索为二维半导体和硅技术搭桥,提出单片“硅上”(硅作为基底,On-Silicon)和“与硅”(与硅器件/电路实现功能集成,With-Silicon)概念,聚焦讨论了材料合成、器件设计和电路集成的相应要求,总结了二维材料在以硅为主导的半导体行业中发挥的作用,并提出未来发展方向,以及可能成为主流的技术。相关长文综述以“Two-dimensional devices and integration towards the silicon lines”为题发表于《自然·材料》(Nature Materials)。
新闻链接:https://news.fudan.edu.cn/2022/1027/c5a132962/page.htm
地球科学领域
1.大气与海洋科学系赵德峰课题组揭示大气天然源高含氧有机物生成的新机制

近日,大气与海洋科学系/大气科学研究院赵德峰课题组与其合作者针对天然源VOC中的主要类别之一单萜烯,选择全球排放量最大的α-蒎烯为代表,研究了其在日间HOM的生成过程。该研究不仅有助于深化理解HOM的生成机理,同时对准确预测SOA的浓度、组成和云凝结核的浓度,评估SOA的气候效应都具有重要意义。相关成果以“Unexpected significance of a minor reaction pathway in daytime formation of biogenic highly oxygenated organic compounds”为题,在线发表于最新一期Science Advances杂志上。
新闻链接:https://news.fudan.edu.cn/2022/1024/c5a132909/page.htm
生命医学领域
1.生命科学学院鲁伯埙、丁澦、费义艳与华东师范大学邢栋合作发表以ATTEC等技术为代表的靶向溶酶体途径的降解新技术综述

近日,生命科学学院鲁伯埙/丁澦、信息科学与工程学院费义艳和华东师范大学化学与分子工程学院邢栋合作在Chemical Society Reviews期刊以封面论文的形式发表了题为“Emerging degrader technologies engaging lysosomal pathways”(靶向溶酶体途径的降解新技术)的重磅综述论文。
新闻链接:https://news.fudan.edu.cn/2022/1101/c4a133006/page.htm
2.生命科学学院徐书华教授团队与合作者发布人类基因组结构变异数据库和计算分析平台PGG.SV

近日,国际知名学术期刊《核酸研究》(Nucleic Acids Research)在线发表了生命科学学院徐书华教授团队、中国科学院上海营养与健康研究所张国庆研究员、生命科学学院樊少华研究员合作开发的人类基因组结构变异数据库PGG.SV,文章题为“PGG.SV: a whole-genome-sequencing-based structural variant resource and data analysis platform”。该数据库通过收集全球人群的全基因组测序数据,专注于基因组结构变异数据的挖掘和整合,为人类基因组结构变异的研究提供了一个数据获取、信息查询和在线分析的综合平台。
新闻链接:https://life.fudan.edu.cn/10/c9/c28140a463049/page.htm
3.生命科学学院王应祥团队揭示减数分裂异染色质浓缩的分子机制

近期,王应祥团队在PNAS在线发表了题为“DNA Polymerase Epsilon Binds Histone H3.1-H4 and Recruits MORC1 to Mediate Meiotic Heterochromatin Condensation” 的研究论文。该研究揭示了植物减数分裂过程中DNA聚合酶epsilon(POL ε)特异识别组蛋白二聚体H3.1-H4并招募MORC1蛋白控制异染色质形成的分子机制。
新闻链接:https://life.fudan.edu.cn/12/f3/c28140a463603/page.htm
4.生命科学学院王鹏飞团队与合作者详细评估新冠疫苗接种和突破感染者血清对奥密克戎最新突变毒株的有效性

近日,Cell Discovery在线发表了生命科学学院王鹏飞、附属华山医院张文宏、胡子欣和中科院分子细胞卓越中心许琛琦团队题为:Neutralization of Omicron BA.4/BA.5 and BA.2.75 by booster vaccination or BA.2 breakthrough infection sera的研究论文。研究基于GISAID的数据库构建了从2022年1月1日流行至今的主要突变株包括B.1.617.2,BA.1,BA.2,BA.3,BA.2.3.1,BA.2.10.1,BA.2.12.1,BA.2.13,BA.2.75和BA.4/BA.5,覆盖了目前所有突变株的91%以上。
新闻链接:https://life.fudan.edu.cn/0f/9c/c28140a462748/page.htm
5.生命科学学院李继喜团队与合作者解析结核分枝杆菌EF-Tu的结构基础及分子机制

近日, 国际学术期刊Communications Biology在线发表了生命科学学院李继喜教授课题组与中科院植物生理生态研究所赵国屏院士团队的合作研究成果“Structural insights of the elongation factor EF-Tu complexes in protein translation of Mycobacterium tuberculosis”。研究团队首次解析了结核分枝杆菌延伸因子EF-Tu结合GDP及EF-Ts的三维结构,揭示了EF-Tu在氨基酰-tRNA转运过程中的构象变化及激活机制;发现非小细胞肺癌治疗药物Osimertinib与EF-Tu直接结合,并显著抑制结核分枝杆菌和BCG的生长,为抗结核药物的研发提供了新的视角。
新闻链接:https://life.fudan.edu.cn/0a/ac/c28140a461484/page.htm
6.生命科学学院陈兴栋青年研究员和公共卫生学院张铁军教授团队发现饮酒与肝细胞癌关联的新线索

近日,国际知名杂志BMC Medicine在线发表了人类表型组研究院/生命科学学院陈兴栋青年研究员和公共卫生学院张铁军教授团队的研究论文“Alcohol consumption and hepatocellular carcinoma: novel insights from a prospective cohort study and nonlinear Mendelian randomization analysis”。该研究针对饮酒与肝癌这一经典的流行病学问题开展了系统研究,为该问题提供了新线索。
新闻链接:https://hupi.fudan.edu.cn/content.jsp?urltype=news.NewsContentUrl&wbtreeid=1041&wbnewsid=2476
7.代谢研究院赵同金课题组揭示棕榈酰化修饰介导蛋白从高尔基体到细胞膜的一种分选机制

近日,代谢与整合生物学研究院赵同金课题组与厦门大学生命科学学院郭慧玲实验组共同合作,在Nature Communications上发表题为“Targeting EGFR-dependent tumors by disrupting an ARF6-mediated sorting system”的研究,揭示了棕榈酰化修饰介导蛋白从高尔基体到细胞膜的一种分选机制,也提出了一种抑制EGFR依赖肿瘤生长的有效策略。
新闻链接:https://imib.fudan.edu.cn/0f/36/c22759a462646/page.htm
8.基础医学院黄志力课题组研究发现中止REM睡眠的新核团及神经环路

近日,基础医学院药理学系黄志力课题组研究发现位于脑干深部中脑核团背侧部(dDpMe)的GABA能神经元能高效终止REM睡眠,防止REM睡眠过长,降低发作性睡病猝倒的发生。中止REM睡眠的新核团及神经环路机制的最新成果,以“A cluster of mesopontine GABAergic neurons suppresses REM sleep and curbs cataplexy”为题,发表在Cell Discovery杂志。
新闻链接:https://news.fudan.edu.cn/2022/1027/c5a132954/page.htm
9.基础医学院魏湲颜、江建海团队发文证实:高甘露糖型的CD133有望成为肿瘤干细胞的“精准”标志物

近日,基础医学院生物化学与分子生物学系糖复合物卫健委重点实验室魏湲颜/江建海团队长期致力于肿瘤干细胞糖生物学研究近期发表于Advanced Science,该项研究提出了CD133的糖链在肿瘤干细胞中以高甘露糖型为主,为肿瘤干细胞的分选提供了更“精准”标志物。
10.脑科学研究院肖雷团队揭示VTA D1神经元对焦虑样行为的调控作用和环路机制

近期,脑科学研究院/医学神经生物学国家重点实验室肖雷青年研究员团队,在Molecular Psychiatry上在线发表题为“D1 receptor-expressing neurons in ventral tegmental area alleviate mouse anxiety-like behaviors via glutamatergic projection to lateral septum”的研究论文,揭示腹侧被盖区(VTA)D1受体和D1神经元在焦虑样行为调控中的重要作用和神经环路机制。该研究明确D1受体在VTA神经元的表达,揭示VTA局部多巴胺信号对焦虑行为的调控,并发现VTA-LS谷氨酸能神经环路在缓解焦虑样行为中的作用。
11.生物医学研究院徐彦辉团队揭示+1核小体调控转录起始机制

近期,《科学》(Science)杂志在线发表徐彦辉课题组题为 “Structures of +1 nucleosome–bound PIC-Mediator complex ”(《+1核小体转录起始复合物结构解析》)的研究论文。该项研究解析了包含+1核小体(启动子下游第一个核小体)的PIC-Mediator复合物结构,首次展示了转录起始复合物与+1核小体的紧密结合,表明+1核小体对转录起始复合物在染色质上组装的重要调控作用,建立了表观遗传和转录起始的直接关联。
新闻链接:https://news.fudan.edu.cn/2022/1007/c4a132599/page.htm
12.附属肿瘤医院宋少莉团队探究低剂量131I和KN046“强强联合”提升免疫治疗应答率

近日,附属肿瘤医院核医学科主任宋少莉教授科研团队的最新成果“Enhanced Antitumor Immune Responses via a New Agent [131I]-labeled Dual-target Immunosuppressant”被核医学专业TOP期刊 European Journal of Nuclear Medicine and Molecular Imaging, EJNMMI接收。该研究创新性地探究了低剂量放射性核素131I增敏PD-L1/CTLA-4双靶向免疫抑制剂在抗肿瘤免疫应答中的价值。
新闻链接:https://news.fudan.edu.cn/2022/1022/c5a132897/page.htm
13.附属肿瘤医院罗志国团队发表软组织肉瘤最新临床研究成果

近期,附属肿瘤医院罗志国教授团队在Clinical Cancer Research杂志上在线发表了 “聚乙二醇化脂质体多柔比星联合异环磷酰胺治疗晚期或转移性软组织肉瘤:一项前瞻性、单臂II期研究”的临床研究结果。该研究的结果表明PLD-IFO与之前报道的ADM-IFO具有相似的疗效和较低的毒性。因此,PLD-IFO为晚期软组织肉瘤患者提供了一种有效且耐受性良好的治疗选择。
新闻链接:https://news.fudan.edu.cn/2022/1024/c5a132926/page.htm
14.附属肿瘤医院乳腺外科邵志敏、江一舟教授领衔团队在研究三阴性乳腺癌精准治疗上取得新突破

近期,附属肿瘤医院乳腺外科邵志敏、江一舟教授领衔团队发布的一项研究显示,“铁死亡”在三阴性乳腺癌“复旦分型”的其中一个亚型——腔面雄激素受体型(LAR)中表现更为活跃,以“谷胱甘肽过氧化物酶4”(GPX4)为核心的谷胱甘肽代谢在LAR型三阴性乳腺癌“铁死亡”调控中具有重要地位。GPX4抑制剂联合免疫治疗可能成为LAR型三阴性乳腺癌的潜在新治疗策略。相关研究成果10月17日在国际代谢顶级期刊《细胞代谢》(Cell Metabolism)在线发表。
新闻链接:https://news.fudan.edu.cn/2022/1018/c5a132750/page.htm
15.附属妇产科医院黄荷凤团队实现出生缺陷防治最新突破

近期,Cell Discovery发表了黄荷凤院士团队的最新研究成果,“Genetic deconvolution of fetal and maternal cell-free DNA in maternal plasma enables next generation non-invasive prenatal screening”。该研究展示了一种全新的无创产前筛查(NIPT)的方法,突破了现有基于全基因组低深度测序技术的NIPT对检测目标疾病和检测性能的局限性,首次实现了同步筛查染色体病和单基因病,同时大幅提高了无创产前筛查对目标疾病的检测性能。
新闻链接:https://news.fudan.edu.cn/2022/1014/c5a132674/page.htm





