
近期,复旦上医科研团队取得了多项突破。敲黑板!快来一起看看2022年11月的科研成果吧~
以下成果据学校、上海医学院官网等整理。
2022.11 主要科研成果
杨力研究员受邀合作发表环形RNA长篇年鉴综述
近期,复旦大学生物医学研究院杨力研究员受邀与国际同行在Annual Review of Cell and Developmental Biology期刊正式发表了题为“Biogenesis and Regulatory Roles of Circular RNAs”的长篇年鉴综述论文。该论文从同类型环形RNA的研究历程入手,将众多同类型的环形RNA依据其生成加工机制进行了系统分类,并针对最主要的反向剪接环形RNA(circular RNA from back-splicing of exons,circRNA)研究进展进行全面梳理和总结。

张铁军合作团队发现饮酒与肝细胞癌关联的新线索
近期,国际知名杂志BMC Medicine在线发表了复旦大学公共卫生学院张铁军教授和人类表型组研究院/生命科学学院陈兴栋研究员团队的研究论文“Alcohol consumption and hepatocellular carcinoma: novel insights from a prospective cohort study and nonlinear Mendelian randomization analysis”。该研究针对饮酒与肝癌这一经典的流行病学问题开展了系统研究,为该问题提供了新线索。本研究结果提示,在肝癌低风险人群中,低至中度饮酒可能与HCC的发生风险呈负相关,这在很大程度上可能与饮用葡萄酒有关。而对于HCC高危人群,如男性和老年人,以及ALT水平异常和携带遗传风险变异的人,任何类型的酒精均无安全阈值,提示此类人群应当完全戒酒以降低HCC风险。总的来说,本研究不仅为饮酒与肝癌这一“古老”的话题提供了新的证据和线索,同时对于HCC高危人群的健康管理具有重要指导意义。

李巍团队研究成果揭示皮脂腺功能失调参与特应性皮炎发病机制
复旦大学附属华山医院皮肤科李巍教授团队首次通过脂质组学研究揭示了皮脂腺功能失调可能参与了特应性皮炎的发病机制,为探索特应性皮炎防治策略提供了新思路,最新研究成果近期在免疫/变态反应学权威期刊Allergy(《过敏》)在线发表。研究首次从脂质组学层面揭示了特应性皮炎患者皮脂腺脂质的成分特征,发现皮脂腺的功能失调可能参与了特应性皮炎的发病机制,为探究特应性皮炎防治策略提供了新思路。

高翔团队研究发现“种菜养花,有利心血管健康”
复旦大学公共卫生学院高翔教授与来自美国宾州州立大学医学院的团队近日在Journal of Academy of Nutrition and Dietetics上发表了题为“Gardening is Associated with Better Cardiovascular Health Status Among Older Adults in the US: Analysis of the 2019 Behavioral Risk Factor Surveillance System (BRFSS) Survey”的最新研究成果,研究了园艺活动可能带来的健康益处。经过对数据的整理统计分析,“园艺组”在研究关注的诸多健康问题方面完胜“不锻炼组”,“园艺组”即使在与“锻炼组”相比较时也能略胜一筹。园艺活动所展现出的诸多健康益处,可能是因为“园艺组”因为从事园艺活动而成功让自己“动”了起来,并在从事园艺活动的过程中亲近了自然,得到了身心愉悦的反馈,种出的果实还有助于提高自身的蔬菜水果摄入量。

张正华联合团队共同揭示调控银屑病患者γδT细胞活化的新机制
近日,复旦大学附属华山医院皮肤科张正华研究员团队联合上海市免疫学研究所沈蕾研究员团队在《美国科学院院报》刊登题为“Upregulation of BTN3A1 on CD14+ cells promotes Vγ9Vδ2 T cells activation in psoriasis”的研究成果,共同揭示调控银屑病患者γδT细胞活化的新机制。银屑病是一种常见的慢性炎症性自身免疫性疾病,可能会有多系统损害的累及。IL-23/Th17轴的免疫紊乱是其主要的驱动因素。虽然目前针对IL-17a单抗的生物制剂治疗给患者带来了全新的皮损获益,但是随着生物制剂使用时间的延长我们发现仍然有存在继发性失效的现象存在。除了Th17细胞之外,γδT细胞是IL-17的另一重要来源。研究发现Vγ9Vδ2 T细胞作为人外周血中主要的γδT细胞类型在寻常型银屑病患者中呈现过度活化状态,本文对其分子调控机制做出了全新的研究。

邵黎明团队发文展示中国制药行业的创新研发现状
近日,复旦大学药学院教授、上海市药物研发协同创新中心主任邵黎明及其团队在Nature Reviews Drug Discovery期刊上发表题为Innovation in the Chinese pharmaceutical industry 的评论文章,清晰明了地展示出中国制药行业的创新研发现状,指出提升创新质量已成为中国制药行业未来发展的重中之重。文章指出,中国制药行业仍处于产业转型的早期阶段,头部企业的研发能力与全球领先企业的研发能力之间的差距仍然较大,并且这一现状仍将持续相当长的一段时间。大多数中国头部制药公司在投资新靶标或新机制药物方面倾向于相对保守的创新研发策略以规避风险,要在全球医药市场更具竞争力,中国制药行业需要在持续投资、资源整合和结构变革等方面寻求突破,在未来的发展中着重提升创新质量。

江燕团队解析调控皮层Htr3a中间神经元发育的分子机制及其对情绪行为的影响
大脑皮层中的GABA能中间神经元起源于胚胎期的神经节隆起,在发育过程中迁移定位至皮层,占成年皮层中神经元总数的20%-30%,对维持皮层神经网络的兴奋和抑制性平衡至关重要。皮层中间神经元的功能失调被认为是多种精神疾病的潜在发病机制。复旦大学脑科学研究院/医学神经生物学国家重点实验室江燕研究员团队最新研究发现组蛋白甲基转移酶SETDB1可特异性影响中间神经元中Htr3a的基因表达,并深入解析了其内在的表观遗传学调控机制。研究进一步发现Htr3a基因表达的失调对皮层内Htr3a阳性的中间神经元亚群的发育、电生理特性、情绪行为产生重要影响。该研究以“Histone methyltransferase SETDB1 regulates the development of cortical Htr3a positive interneurons and mood behaviors”为题,发表于2022年《生物精神病学》(Biological Psychiatry)期刊。

陆巍研究组合作解析多巴胺调控强迫症样重复刻板行为的环路机制
11月7日,复旦大学脑科学转化研究院陆巍研究组与上海交通大学/上海精神卫生中心袁逖飞研究组合作,于PNAS在线发表题为“Midbrain dopamine neurons arbiter OCD-like behavior”的研究成果,对中脑多巴胺神经元调控强迫症样重复刻板行为的神经环路机制进行了解析。该研究揭示了多巴胺调控重复行为的精准环路基础及不同类型DR亚型对重复行为的差异性调控机制。该研究成果将有可能为重复刻板行为这一众多精神疾病共患症状的诊治提供新的靶点。

邵志敏/江一舟/黄胜林团队发现发现三阴性乳腺癌治疗的新靶点
RNA是细胞传递基因信息的重要“信使”,一旦细胞发生癌变,便很有可能产生异于常态的RNA,即“肿瘤特异性转录本”。近日,从复旦大学附属肿瘤医院传来消息,该院邵志敏教授、江一舟教授团队携手黄胜林教授团队,发现在三阴性乳腺癌的细胞中存在大量“肿瘤特异性转录本”,并据此成功绘制出目前世界首个三阴性乳腺癌“肿瘤特异性转录本”图谱;研究团队还鉴定出其中高频表达的全新“肿瘤特异性转录本”MARCO-TST,阐明了超级增强子能够激活该转录本在肿瘤中的表达,首次证实BET抑制剂可作为三阴性乳腺癌患者的潜在治疗选择。这意味着长期以来缺乏有效治疗策略的三阴性乳腺癌,有望获得新的治疗靶点。该项研究成果11月8日在线发表于国际权威期刊《美国科学院院报》(PNAS)。

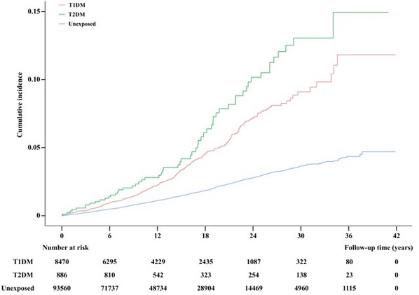
余勇夫课题组合作研究在儿童期糖尿病与早发性肾脏疾病领域取得进展
近期,复旦大学公共卫生学院余勇夫课题组与山东大学公共卫生学院席波教授课题组以及丹麦奥胡斯大学Jiong Li教授的合作研究在儿童期糖尿病与早发性肾脏疾病领域取得进展,论文“Childhood diabetes mellitus and early-onset kidney diseases later in life: a nationwide population-based matched cohort study”于2022年11月发表于BMCMedicine。研究发现,患有糖尿病的儿童发生早发性肾脏疾病的风险增加154%,其中1型糖尿病和2型糖尿病相关风险分别增加148%和175%;研究还发现患有糖尿病的儿童中多种特定类型的肾脏疾病的风险增加,包括肾小球疾病、肾小管间质疾病、肾功能衰竭和尿石症。这项研究证明患有糖尿病的儿童总体和特定类型的早发性肾脏疾病风险增加,在儿童时期早预防和治疗糖尿病可能会显著降低日后患肾脏疾病的风险。

嵇庆海/王宇/魏文俊等团队合作首次揭示甲状腺髓样癌分子分型及精准治疗方向
近日,复旦大学附属肿瘤医院头颈外科嵇庆海教授、王宇教授、魏文俊副主任医师领衔的研究团队与西湖大学郭天南教授团队合作,联合浙江省肿瘤医院、常州市第二人民医院、泰州市人民医院、北京大学深圳医院,成功绘制国际上首个甲状腺髓样癌蛋白基因组学全景图谱,研究结果在线发表于国际顶尖生物医学期刊Cell Discovery,并被选作当期亮点文章。本研究中,研究者对102位髓样癌患者的肿瘤/配对正常组织进行了基因全外显子组测序,并利用下游转录及蛋白组测序结果对基因突变性质进行联合解析,成功绘制出目前世界上最大的甲状腺髓样癌基因变异图谱,并为91%的髓样癌患者找到了非常明确的病因。更为重要的是,研究团队对102名髓样癌患者肿瘤组织的进行了深入蛋白组学质谱检测,并对其中绝大多数组织完成了转录组、甲基化组和磷酸蛋白质谱的测序。多组学联合分析表明,甲状腺髓样癌在蛋白表达谱上可以分成三类异质性明显的类型。这意味着甲状腺髓样癌更精准的治疗策略将有据可依。

顾宏周课题组开发PECAN技术实现无疤痕裁剪、自由制备任意序列DNA
11月8日,生物医学研究院顾宏周(现任职于上海交通大学)团队在Angewandte Chemie(《德国应用化学》)期刊上发表了题为Catalytic DNA-Assisted Mass Production of Arbitrary Single-Stranded DNA的研究论文,基于两类自驱动DNA酶(DNAzyme)和噬菌体扩增,开发配对式末端特异自我水解切割的PECAN(paired-end cutting assisted by DNAzymes)技术,实现了单碱基精度的任意长度、任意序列DNA的大规模制备。该团队同时展示了PECAN法制备的高品质DNA序列在RNA原位检测、基因编辑和DNA信息存储等多个领域的应用优势。

张琰青课题组解析人源钠氯协同转运蛋白NCC的高分辨结构
11月9日,复旦大学生物医学研究院张琰青研究组在Science Advances杂志发表了题为 “Cryo-EM structure of the human sodium-chloride cotransporter NCC” 的研究论文,该研究通过单颗粒冷冻电镜解析了人源NCC的高分辨结构。研究通过与最近发表的NKCC1向外开口结构的比对,发现TM3和TM10在构象变化中,可以打开盐桥以及胞外门控的极性相互作用,这也为我们了解NCC的构象变化提供了重要信息。NCC结构的解析加深了对CCC家族蛋白的理解,也可为相关疾病的研究和药物的研发提供了结构信息。

余宏杰课题组在柯萨奇病毒A16型母传抗体及其自然感染的血清流行病学研究领域取得进展
近期,复旦大学公共卫生学院余宏杰课题组在柯萨奇病毒A16型(CVA16)母传抗体及其自然感染的血清流行病学研究领域取得进展,研究结果以“The transfer of maternal antibodies and dynamics of maternal and natural infection‑induced antibodies against coxsackievirus A16 in Chinese children 0–13 years of age: a longitudinal cohort study”为题,于11月9日在线发表在BMC Medicine。研究发现母亲CVA16中和抗体可通过胎盘有效地传输给胎儿,但新生儿出生后抗体迅速衰减。40%-95%的儿童在6月龄到5岁期间依然对CVA16易感,应当纳入为CVA16疫苗的目标免疫人群。为降低0-5岁儿童(尤其是1岁组儿童)的手足口病发病率,同时为避免母传抗体对疫苗效应的潜在干扰,1.5月龄至1岁期间是CVA16疫苗的最佳免疫时间。本研究为CVA16疫苗研发提供了详细的基础信息,对预防和控制手足口病尤其是制定CVA16疫苗免疫策略具有重要科学意义。

郁金泰团队开发痴呆预测新模型,可提前预测个体痴呆风险
复旦大学附属华山医院神经内科主任医师郁金泰临床研究团队联合复旦大学类脑智能科学与技术研究院冯建峰教授、程炜青年研究员算法团队开发了UKB-DRP痴呆预测模型。相关研究成果近日发表于柳叶刀子刊e Clinical Medicine(《电子临床医学》)。该模型能够预测个体在五年、十年甚至更长时间内是否会发病,筛查出处于痴呆症病程早期的群体,使高风险人群“记忆的橡皮擦”放缓步伐。

何祥火团队合作绘制人类癌细胞系的泛癌RNA转录本图谱
11月10日,复旦大学生物医学研究院何祥火团队联合上海交通大学医学院附属第一人民医院李胜利团队在Nature Communications在线发表了题为Systematic characterization of cancer transcriptome at transcript resolution的最新研究成果,通过对来自Cancer Cell Line Encyclopedia (CCLE)的25个组织的1017个癌细胞系的转录组数据进行转录本有参组装和定量,结合调控组学、肿瘤药物反应与弹性网络回归算法,揭示了泛癌细胞系的RNA转录本图谱及其受RNA结合蛋白(RBP)的调控模式和与药物反应的关联,为进一步肿瘤生物学研究和精准药物开发提供了基础。该研究系统性分析了大规模泛癌细胞系的转录本图谱及其RBP调控模式,对在转录本水平上深入理解癌症的发生和发展具有重要意义,进一步分析与药物敏感性的关联,有利于深入理解和预测肿瘤耐药。

黄瑛教授团队在IL10RA基因变异自然选择的研究中取得新成果
复旦大学附属儿科医院消化科主任黄瑛教授团队在国际权威杂志Journal of Clinical Immunology以论著形式在线发表题为“Pathogenic Interleukin-10 Receptor Alpha Variants in Humans - Balancing Natural Selection and Clinical Implications”的论文。该研究由复旦大学附属儿科医院与英国牛津大学John Radcliffe医院合作完成。本研究首次着眼于IL10RA致病变异意义与发生机制。研究团队首先对36种不同的IL10RA基因突变位点进行了功能验证;通过感染性疾病空间关联性分析,结合IL-10通路作用机制,首次提出日本血吸虫感染的自然选择作用是产生IL10RA高频突变的可能原因;并通过相关实验证实了IL10RA杂合变异存在杂合优势作用,提示该基因高频变异的产生可能是由于感染性疾病的自然选择所致。本研究对于理解IL10RA高频突变的产生原因以及IL-10信号通路在相关疾病中所起的作用意义重大。

陈晓军/赵冰合作团队绘制子宫内膜癌发生发展细胞图谱
近日,由复旦大学附属妇产科医院陈晓军、复旦大学遗传工程国家重点实验室赵冰合作在Nature Communications上发表题为 Single-cell transcriptomic analysis highlights origin and pathological process of human endometrioid endometrial carcinoma 的论文,该研究通过单细胞转录组学分析绘制了人正常子宫内膜向内膜样癌转变过程中不同细胞亚群细胞的动态图谱,揭示了子宫内膜样癌潜在细胞起源及病理发展过程。该研究通过单细胞转录组学测序分析揭示了正常子宫内膜向子宫内膜样癌演化过程中细胞亚群的动态演化,为内膜癌细胞起源、早期诊断及临床治疗提供了新的线索。

曾昭冲/杜世锁/李宗娟发文阐明肠道菌群介导肝癌放疗免疫调控新机制
近日,复旦大学附属中山医院放疗科团队发文揭示了肠道菌群介导肝癌放疗免疫调控新机制,研究结果在线发表在Gut Microbes。文章的第一作者为李宗娟博士后,通讯作者为中山医院放疗科曾昭冲教授和杜世锁教授。文章发现:c-di-AMP促进STING二聚体形成协同放疗有效激活树突状细胞中cGAS-STING-INF-I通路,促进树突状细胞成熟及抗原提呈,启动CD8+T适应性免疫应答,增加肝癌放疗敏感性。

华山医院核医学科/PET中心在帕金森综合征鉴别诊断领域取得重要进展
帕金森病(PD)是仅次于阿尔茨海默病的第二大神经退行性疾病,临床鉴别诊断困难。复旦大学附属华山医院核医学科/PET中心依托国家神经疾病医学中心综合性大平台的优势,长期致力于提升帕金森综合征的鉴别诊断。近期,团队先后在核医学专业顶级期刊Journal of Nuclear Medicine(《核医学杂志》)、European Journal of Nuclear Medicine and Molecular Imaging(《欧洲核医学与分子影像杂志》)和运动障碍性疾病领域顶级期刊Movement Disorders(《运动障碍》)发表文章,揭示了人工智能技术在帕金森综合征鉴别诊断中的价值,并逐步完善了基于脑代谢模式的帕金森综合征诊断与鉴别诊断体系。



李华伟/舒易来/王武庆团队通过内含肽介导药物恢复耳聋模型听力
11月16日,眼耳鼻喉科医院李华伟、舒易来、王武庆等医生合作的研究论文“Hearing of Otof-deficient mice restored by trans-splicing of N- and C-terminal otoferlin(耳畸蛋白氮末端和碳末端的反式剪接恢复Otof缺陷小鼠的听力)”在Human Genetics杂志上在线发表。耳畸蛋白编码序列长,超过单个药物载体的容量,递送困难。为了解决体内递送的难题,研发团队基于内含肽反式剪接新原理,开发了一种新型双载体介导的OTOF基因治疗体系,经单侧耳单次给药后可恢复Otof耳聋小鼠模型双耳的听力。本研究不仅为治疗OTOF听神经病提供了潜在的临床策略,还为其他基因疗法和蛋白质工程提供了借鉴和参考。

马丽香等联合团队在体外成功构建了人类纹状体类器官
11月17日,复旦大学基础医学院解剖与组织胚胎学系马丽香老师和生命科学院赛音贺西格老师联合团队在Plos Biology杂志上在线发表了题为“Human striatal organoids derived from pluripotent stem cells recapitulate striatal development and compartments”的研究成果,在体外成功构建了人的纹状体类器官。研究首次报导了纹状体类器官中隔室样结构(matrix-striosome compartments)的存在,这是一种体内纹状体独特的空间组织模式。在构建纹状体类器官的基础之上,他们进一步测试了纹状体类器官的潜在应用:包括利用融合类器官在体外重现靶向纹状体投射,以及纹状体类器官衍生的体外疾病模型等。

王磊团队揭开人类卵母细胞纺锤体组装之谜
11月18日,复旦大学生物医学研究院王磊、桑庆团队联合复旦大学附属妇产科医院集爱遗传与不育诊疗中心孙晓溪团队在Science杂志上以长文形式发表题为 “The mechanism of acentrosomal spindle assembly in human oocytes”(《人类卵母细胞非中心体纺锤体组装的机制》)的文章,发现人卵母细胞中存在着前所未知且与众不同的微管组织中心,研究者将其命名为huoMTOC(Human Oocyte Microtubule Organizing Center),明确了相关分子组成、阐明了人卵母细胞启动纺锤体组装的生理机制,最后在卵母细胞纺锤体组装异常患者中鉴定到huoMTOC组分的基因突变,从生理病理角度揭示了人卵母细胞纺锤体组装新机制。

孙宁/蓝斐合作团队报道表观因子RING1A在心脏发育中的重要作用
11月21日,复旦大学基础医学院孙宁实验室和复旦大学生物医学研究院(IBS)蓝斐实验室在Developmental Cell在线发表论文Essential role of MESP1-RING1A complex in cardiac differentiation,发现转录因子MESP1结合表观因子RING1A在心脏发育中共同发挥重要作用。本研究首次发现MESP1可与PRC1核心蛋白RING1A相互作用,协同结合并激活人类心脏早期发育相关基因表达。这些研究不仅证明了MESP1-RING1A在心脏发育中的重要性,同时也为MESP1,PRC1 和 cohesin组分突变导致先天性心脏病的机制提供了可能的解释。

屈前辉博士合作报道多种新型激动剂作用于鸦片受体的机制研究
11月22日,复旦大学生物医学研究院屈前辉博士(第一作者)联合斯坦福大学分子动力学模拟专家Ron Dror教授及华盛顿大学路易斯分校化学合成专家Susruta Majumdar教授,研究了芬太尼类合成物Lofentanil及植物卡痛树叶代谢衍生物Mitragynine pseudoindoxyl (MP,帽柱木碱)对μOR受体的激活作用机制,发表在Nature Chemical Biology杂志上。Lofentanil是目前最强效的一种μOR完全激动剂,其效力大约是芬太尼的100倍、吗啡的10000,极易致死。MP是东南亚地区常绿帽柱木属卡痛树叶经肠道微生物代谢的一种主要生物碱,当地居民常食用卡痛叶增强耐力和缓解疲劳,显示成瘾程度与其同属物种咖啡差不多。与吗啡相比,部分激动剂MP注射的小鼠产生镇痛耐受明显慢很多,且相同剂量下不会导致呼吸抑制。解析的MP与μOR-Gi蛋白复合物的2.5埃分辨率冷冻电镜结构,显示MP结合μOR的方式明显区别于Lofentanil及其他已报道的激动剂如DAMGO和BU72。未来基于这些结果对MP分子进行定向优化,有助于研发镇痛效果好且副作用更低的潜在药物。

阚海东/陈仁杰团队通过前瞻性队列研究揭示居住区绿地环境可降低慢阻肺发病风险
近日,复旦大学公共卫生学院阚海东教授、陈仁杰教授课题组评估了绿地环境对慢性阻塞性肺疾病(COPD)发病风险的影响以及空气污染、体育活动在其中可能的中介效应,研究成果以“Association of residential greenness with incident chronic obstructive pulmonary disease: a prospective cohort study in the UK Biobank”为题在线发表于国际环境与健康领域著名杂志Environment International。本研究基于大规模前瞻性队列提供了居住地周围绿地环境可降低COPD发病风险的流行病学证据。绿地可部分通过减轻空气污染和促进身体活动对COPD发病风险起保护作用。研究结果进一步加强了绿地环境对呼吸系统健康有益效应的证据基础,表明城市绿色空间作为公共卫生资源的潜力,并为促进健康城市环境规划提供定量参考依据。

邵志成团队报道人星形胶质细胞重编程神经类器官修复脊髓损伤的最新成果
11月25日,复旦大学脑科学转化研究院邵志成团队在国际著名期刊Nature Biomedical Engineering杂志上在线发表了题为Generation of neural organoids for spinal-cord regeneration via the direct reprogramming of human astrocytes的最新研究成果。该团队发现人星形胶质细胞可被直接重编程为早期神经外胚层细胞,被重编程细胞不仅自组装形成皮层类器官,且在特定脊髓发育信号的激活下,可以定向诱导为具有背-腹侧空间结构的特异性脊髓类器官,将该脊髓类器官移植到完全SCI小鼠模型中,发现其能存活,分化成脊髓神经细胞并与宿主神经元形成突触连接。该研究初次实现了直接利用体细胞再生3D神经组织修复中枢神经系统损伤,为今后开发内源性胶质细胞促进神经组织器官再生的研究奠定坚实的基础,加速中枢神经再生基础与临床转化研究。






